Timothy A. Herzog, Ph.D.
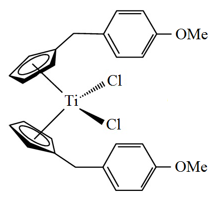
Research Intersts: Working with undergraduate students, we synthesize organometallic molecules (molecules that contain a transition metal and an organic ligand) that have the potential to treat cancer cells. Most of our recent work has been focused on metallocene complexes that are related to the anticancer agent titanocene-Y which is shown below.
In collaboration with Professor Tracy Covey, we test these compounds against human cancer cells in the hope of finding new therapies and understanding the mechanism of operation of these agents.
Teaching Philosophy: I believe that learning needs to be an interactive process. I use a pedagogy called POGIL (Process Oriented Guided Inquiry Learning) in all of my classes and labs. The focus of this method is that students discover the material for themselves through a series of carefully designed small group activities. My role in this classroom is to be a facilitator of the learning process, not the source of knowledge. The process is centered on the idea that students who formulate their own understanding of material will learn the concepts more deeply. In learning this way, students also develop key process skills like communication and critical thinking which will be valuable in the workplace and in future classes. I am a member of the POGIL Steering Committee and frequently facilitate workshops accross the country to train POGIL practitioners.

My daughter Jade, me, my wife Valerie (professor of Athletic Training at Weber State), and daughter Izzie.

Student Cole Clark presenting his research on his work to synthesize chiragen ruthenium complexes.

Students Taylor Jordan and Grant Grover treating human cancer cells with new organometallic molecules they synthesized.
